• 首页
  • 信息公开
    • 学校简介
    • 组织架构
  • 党群建设
    • 党建工作
    • 工会工作
    • 共青团工作
  • 学历教育
    • 教学动态
    • 考试信息
    • 资源下载
    • 学习平台
    • 招生专栏
    • 电中报名
  • 社区教育
    • 社教动态
    • 社教资讯
    • 品牌项目
    • 老年教育
    • 奉贤终身学习
  • 职业培训
    • 培训动态
    • 小微基地
  • 教育科研
    • 科研动态
    • 管理文件
    • 成果展示
    • 相关资料
    • 名师工作室
      • 赵国辉陈玉国名师工作室
      • 尘昌华名师工作室
  • 学生之家
    • 莘莘学子
    • 就业信息
  • 支持保障
    • 后勤保障
    • 技术支持
  • 民教管理
 
当前位置:
  • 首页
  • 学生之家
  • 莘莘学子
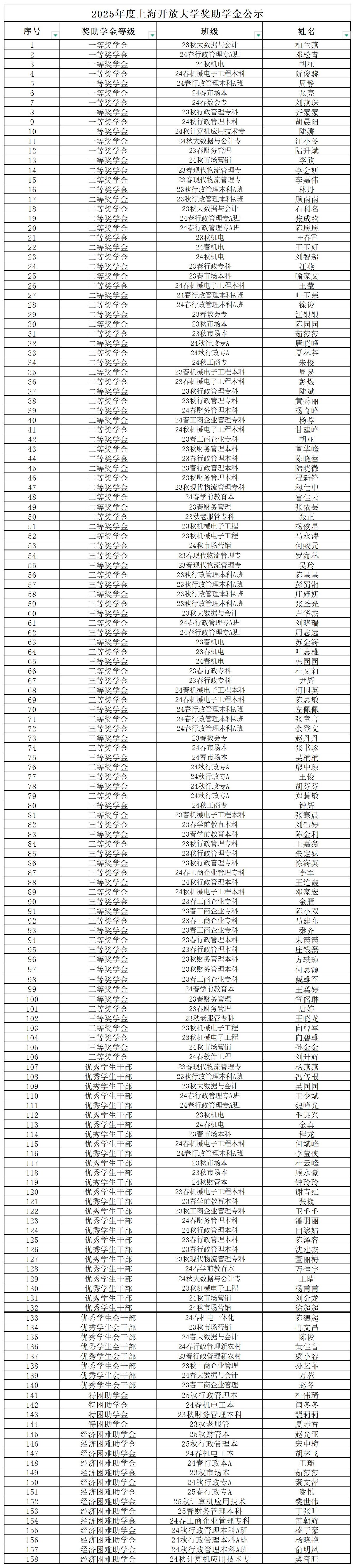
  • 2025年度上海开放大学奖助学金公示 2025-10-14

    经学生本人申请,课程教学管理中心核实材料,学校讨论决定,拟下列同学为2025年度上海开放大学奖助学金获得者:

    若对以上名单有异议,自公示之日起7天内向课程教学管理中心反映。

    电话:021-57186503

    上海开放大学奉贤分校

    2025年10月14日


    热门资讯
    拧紧安全“螺丝钉” 系好节前“安全扣” ——上海开放大学奉贤分校开展国庆、中秋... [2025.09.30] 上海开放大学奉贤分校召开深入贯彻中央八项规定精神学习教育总结会议 [2025.09.30] 同心筑梦迎佳节,月圆情深暖人心 [2025.09.30] 上海开放大学奉贤分校召开退休组长工作会议 [2025.09.29] 奉贤区社区学院在2025年度上海市社区教育教学竞赛决赛中荣获佳绩 [2025.09.28] 以文化自觉铸魂,以历史警示聚力 [2025.09.24] 祝燕国带队前往无人机基地调研特色专业相关工作 [2025.09.19] 筑梦开大 逐梦同行 2025春届毕业典礼暨2025秋级开学典礼圆满结束 [2025.09.16]
    上海开放大学奉贤分校 2019 © 版权所有 沪ICP备18037151-2号/沪公网安备 31012002004083号